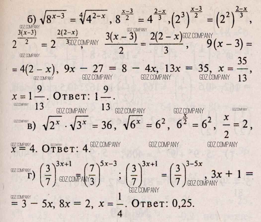
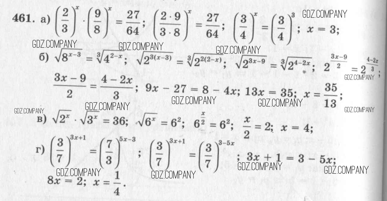
Решебник №1
упражнение / 461


Решебник №2
упражнение / 461

Решебник №3
упражнение / 461

Здесь готовые ответы по Алгебре за 11 (десятый) класс от Колмогоров, Абрамов, Дудницын, Ивлев, Шварцбурд Учебник (издательство: Просвещение от 2008 г.) № 461