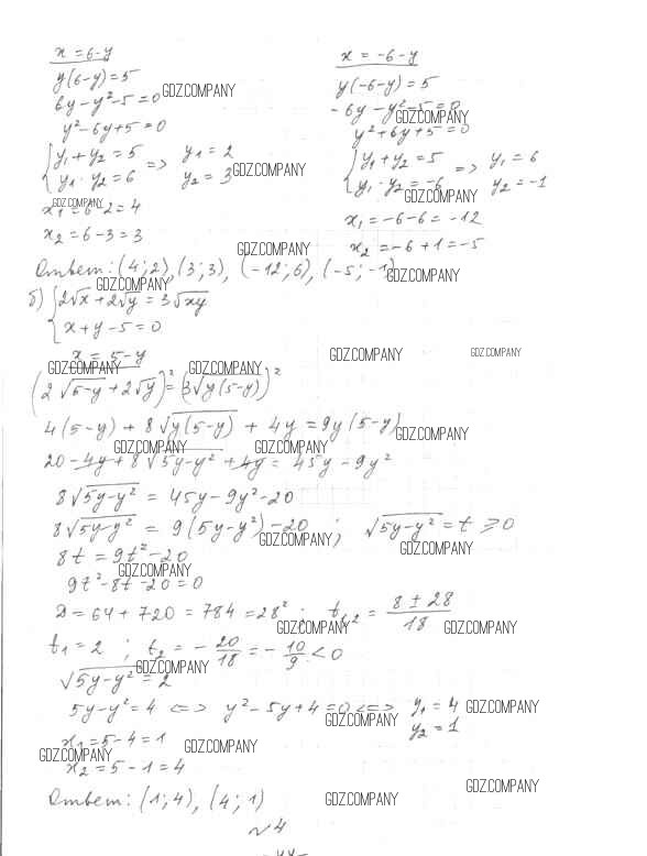
Решебник
кр-8 / вариант-1





Здесь готовые ответы по Алгебре за 11 (одиннадцатый) класс от Глизбург Контрольные работы Базовый и углубленный уровень (издательство: Мнемозина от 2016 г.) № Вариант-1 Базовый и углубленный уровень