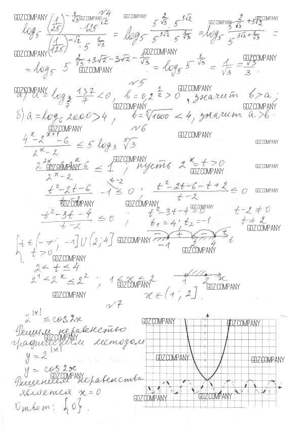
Решебник
кр-4 / вариант-3



Здесь готовые ответы по Алгебре за 11 (одиннадцатый) класс от Глизбург Контрольные работы Базовый и углубленный уровень (издательство: Мнемозина от 2016 г.) № Вариант-3 Базовый и углубленный уровень