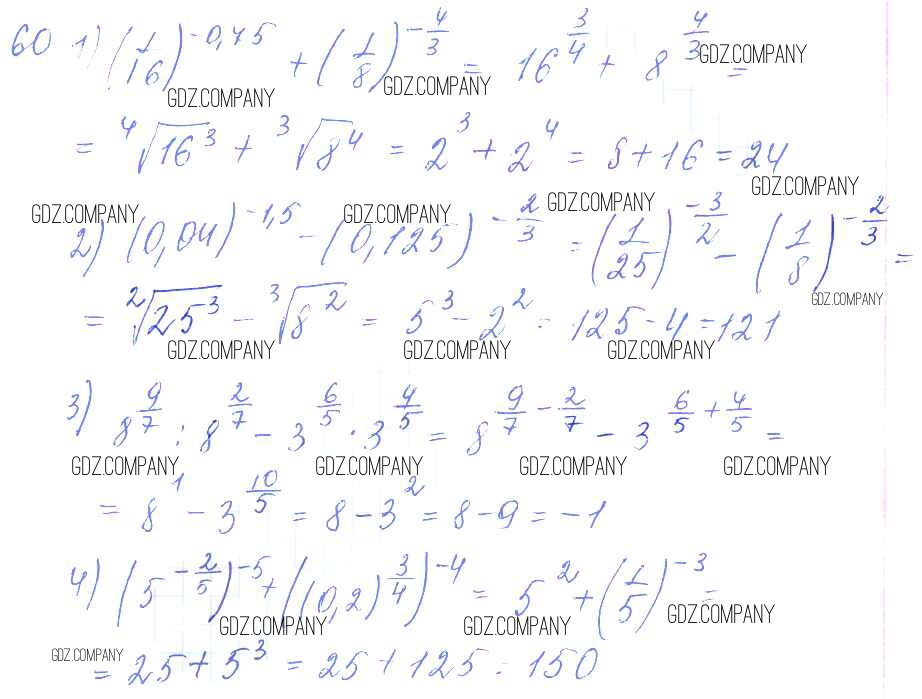
Решебник №1
упражнение № / 60

Решебник №2
упражнение № / 60

Здесь готовые ответы по Алгебре за 11 (десятый) класс от Алимов, Ткачева, Колягин, Федорова, Шабунин Учебник Базовый и углубленный уровень (издательство: Просвещение от 2015 г.) № 60 Базовый и углубленный уровень