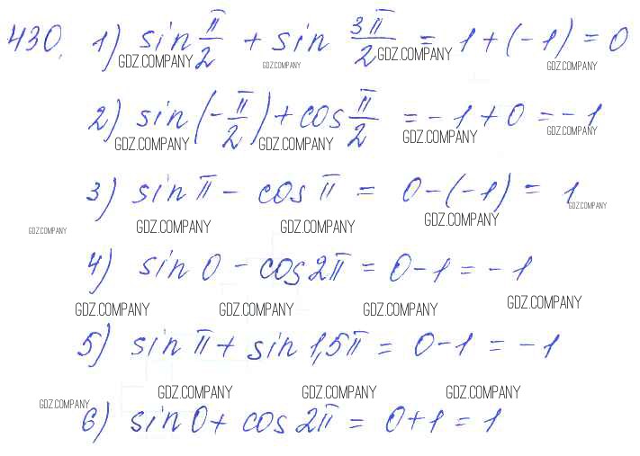
Решебник №1
упражнение № / 430

Решебник №2
упражнение № / 430

Здесь готовые ответы по Алгебре за 11 (десятый) класс от Алимов, Ткачева, Колягин, Федорова, Шабунин Учебник Базовый и углубленный уровень (издательство: Просвещение от 2015 г.) № 430 Базовый и углубленный уровень