Решебник
самостоятельная работа 11 (вариант) / 3



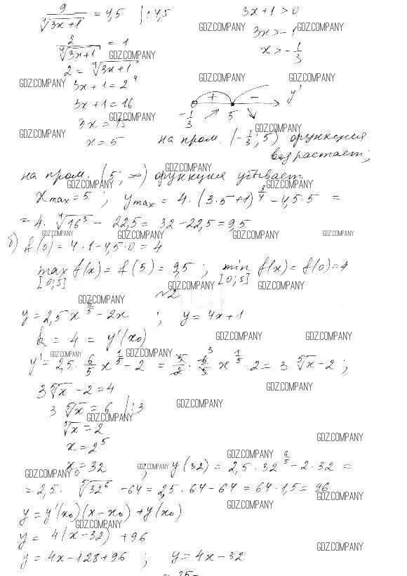
Здесь готовые ответы по Алгебре за 11 (одиннадцатый) класс от Александрова Самостоятельные работы УМК Базовый уровень (издательство: Мнемозина от 2016 г.) № 3 Базовый уровень