Решебник
§17 / 7
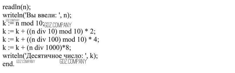
Здесь готовые ответы по Информатике за 10 (десятый) класс от Семакин, Хеннер, Шеина Учебник Базовый уровень (издательство: Бином от 2017 г.) № 7 Базовый уровень