Решебник №1
параграф / 6
Решебник №2
параграф / 6
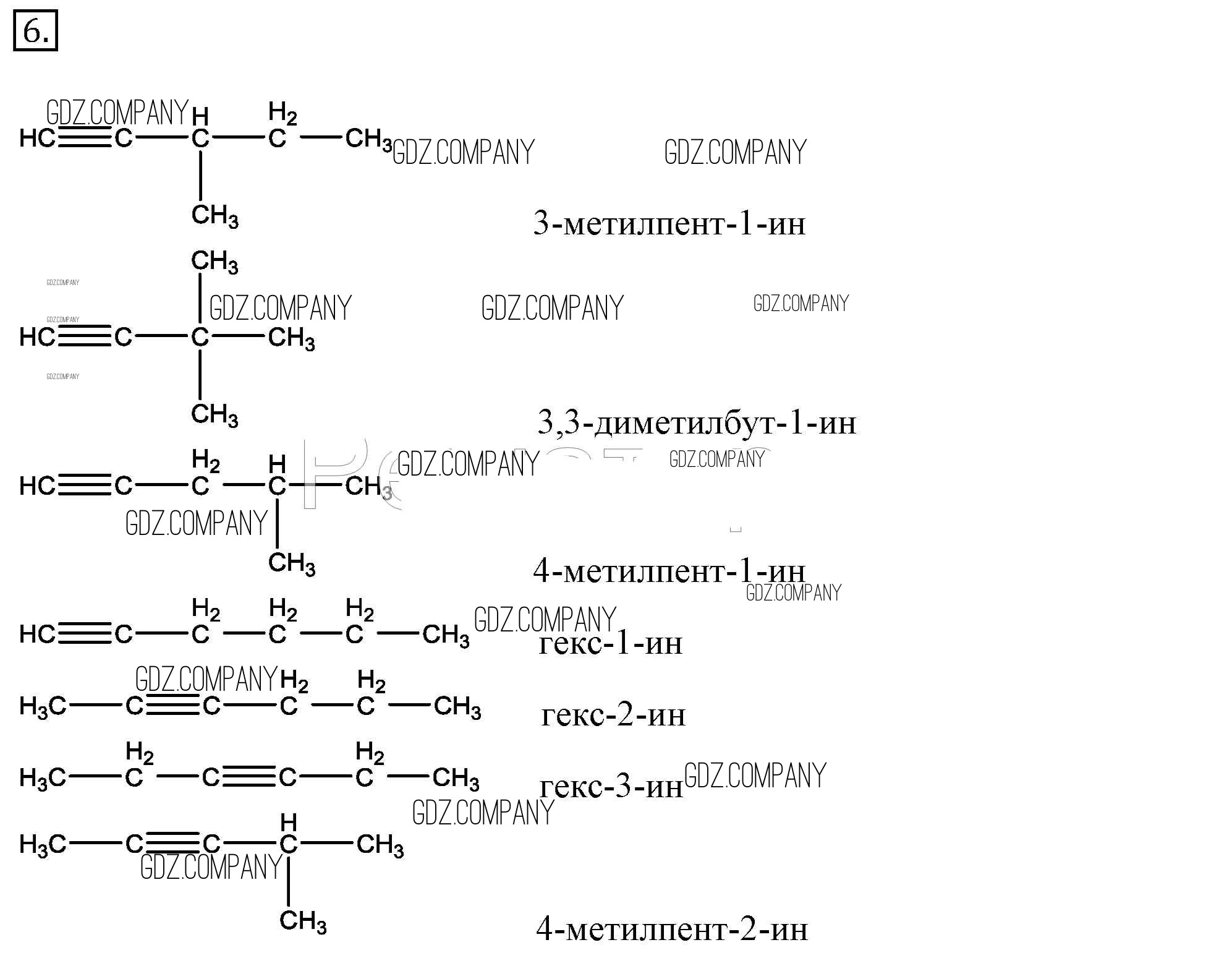
Здесь готовые ответы по Химии за 10 (десятый) класс от Габриелян Учебник Вертикаль Базовый уровень (издательство: Дрофа от 2015 г.) № 6 Базовый уровень