Решебник №1
параграф / 3
Решебник №2
параграф / 3
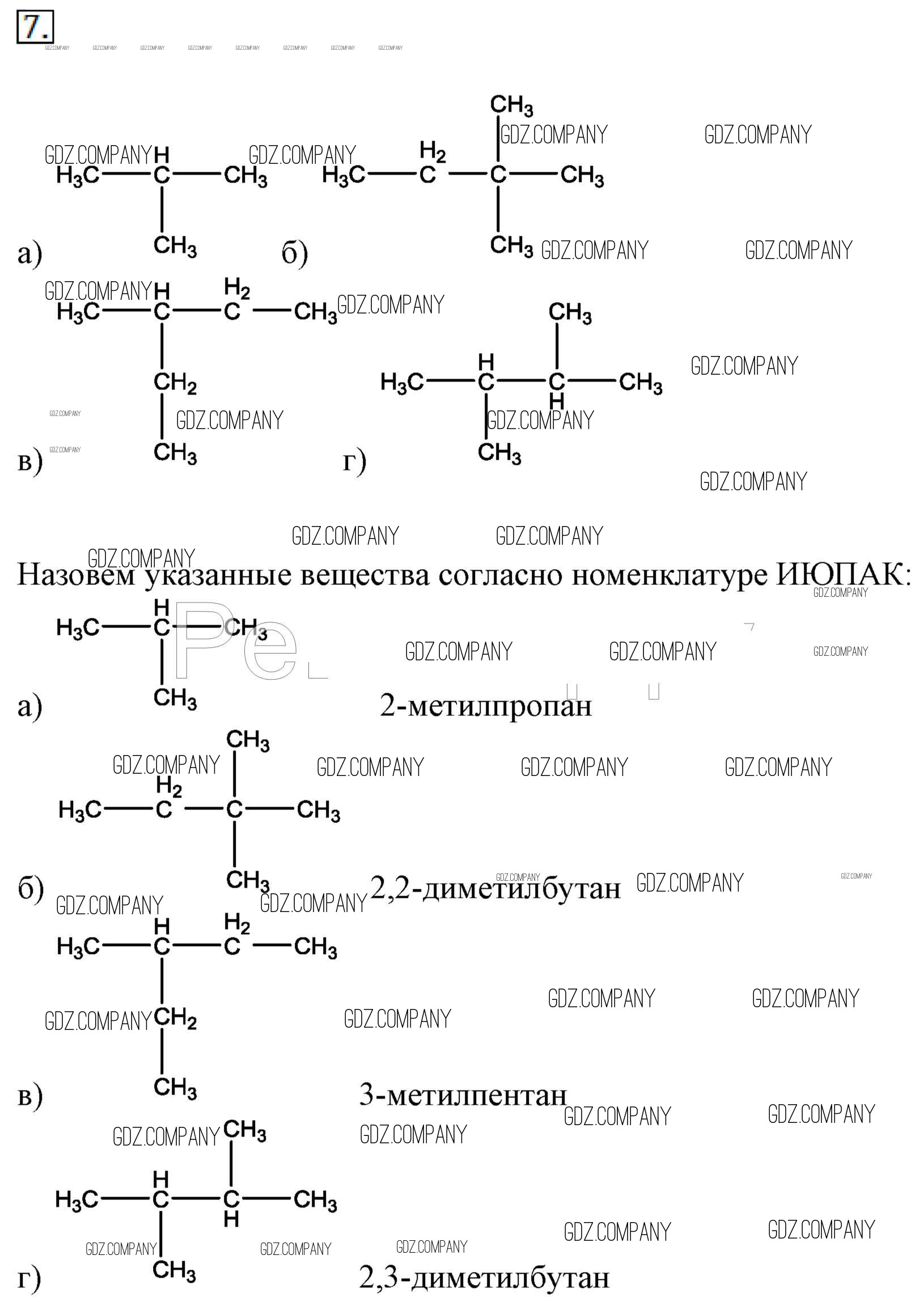
Здесь готовые ответы по Химии за 10 (десятый) класс от Габриелян Учебник Вертикаль Базовый уровень (издательство: Дрофа от 2015 г.) № 3 Базовый уровень