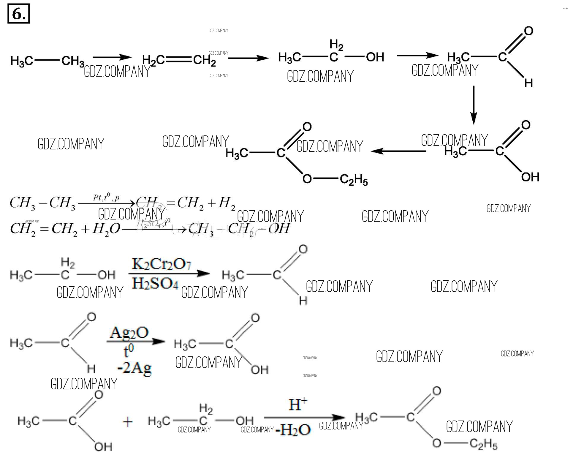
Решебник №1
параграф / 11
Решебник №2
параграф / 11
Здесь готовые ответы по Химии за 10 (десятый) класс от Габриелян Учебник Вертикаль Базовый уровень (издательство: Дрофа от 2015 г.) № 11 Базовый уровень