Решебник
§23 / 7
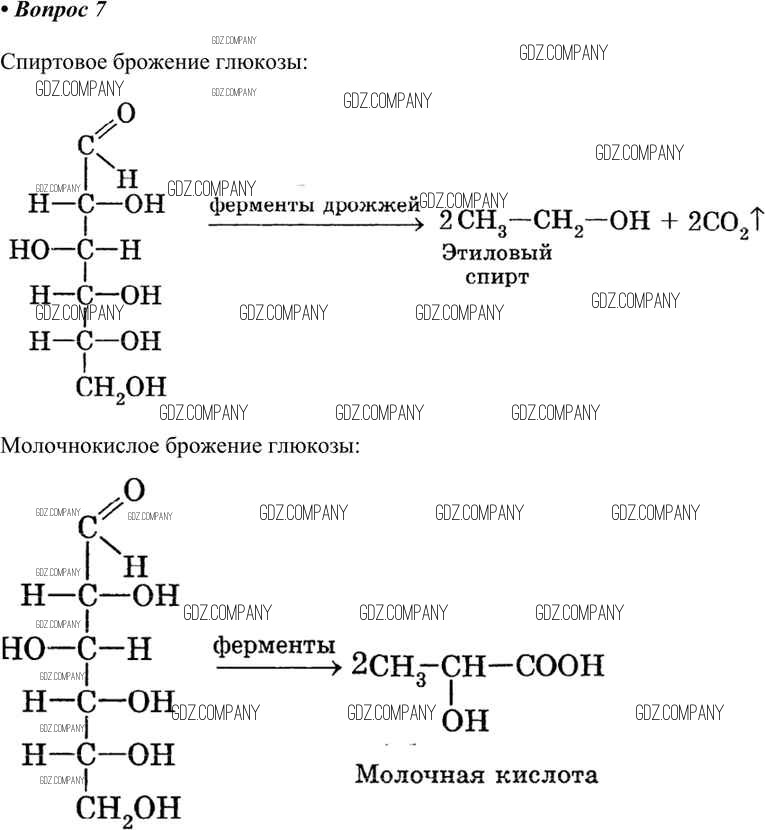
Здесь готовые ответы по Химии за 10 (десятый) класс от Габриелян, Остроумов, Пономарев Учебник Вертикаль Углубленный уровень (издательство: Дрофа от 2017 г.) № 7 Углубленный уровень