Решебник
§19 / 3
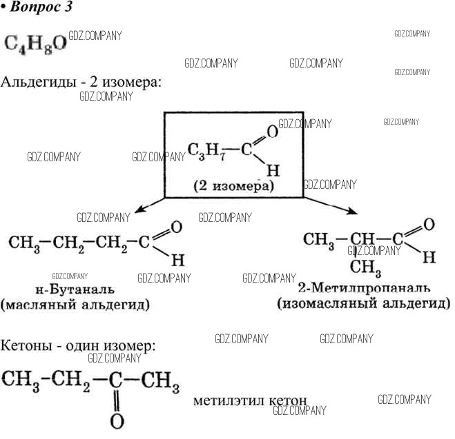
Здесь готовые ответы по Химии за 10 (десятый) класс от Габриелян, Остроумов, Пономарев Учебник Вертикаль Углубленный уровень (издательство: Дрофа от 2017 г.) № 3 Углубленный уровень