Решебник
страница / 48
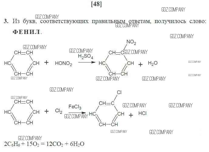
Здесь готовые ответы по Химии за 10 (десятый) класс от Габриелян, Сладков Рабочая тетрадь Вертикаль Базовый уровень (издательство: Дрофа от 2017 г.) № 48 Базовый уровень