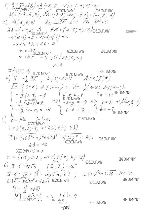
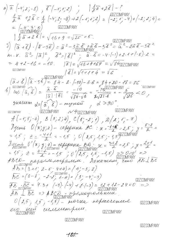
Решебник
к учебнику Погорелова / контрольная работа / кр-4. вариант / 4



Здесь готовые ответы по Геометрии за 10 (десятый) класс от Ершова, Голобородько Самостоятельные и контрольные работы (издательство: Илекса от 2014 г.) № 4