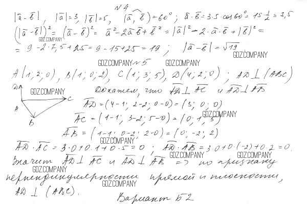
Решебник
к учебнику Погорелова / самостоятельная работа / ср-20. вариант / 3


Здесь готовые ответы по Геометрии за 10 (десятый) класс от Ершова, Голобородько Самостоятельные и контрольные работы (издательство: Илекса от 2014 г.) № 3