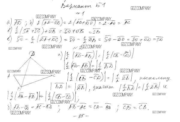
Решебник
к учебнику Атанасяна / самостоятельная работа / ср-27. вариант / 3


Здесь готовые ответы по Геометрии за 10 (десятый) класс от Ершова, Голобородько Самостоятельные и контрольные работы (издательство: Илекса от 2014 г.) № 3