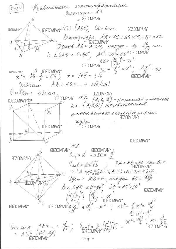
Решебник
к учебнику Атанасяна / самостоятельная работа / ср-24. вариант / 1


Здесь готовые ответы по Геометрии за 10 (десятый) класс от Ершова, Голобородько Самостоятельные и контрольные работы (издательство: Илекса от 2014 г.) № 1