Решебник
параграф / 66
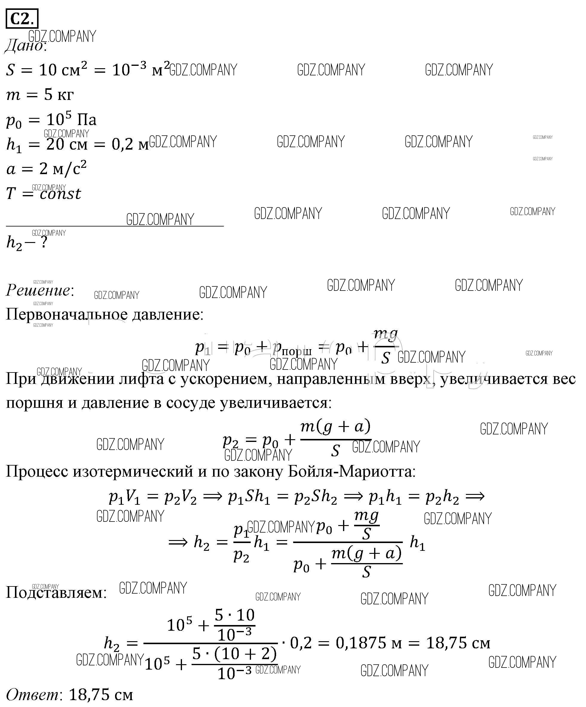
Здесь готовые ответы по Физике за 10 (десятый) класс от Мякишев, Буховцев, Сотский Учебник Базовый уровень (издательство: Просвещение от 2014 г.) № 66 Базовый уровень