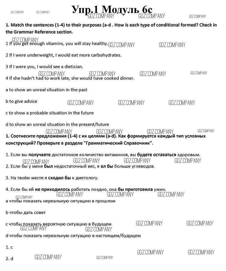
Решебник №1
module 6 / часть 6c / 1
Решебник №2
module 6 / часть 6c / 1
Здесь готовые ответы по Английскому языку за 10 (десятый) класс от Афанасьева, Дули, Михеева, Оби, Эванс Учебник Spotlight (издательство: Просвещение от 2015 г.) № 1