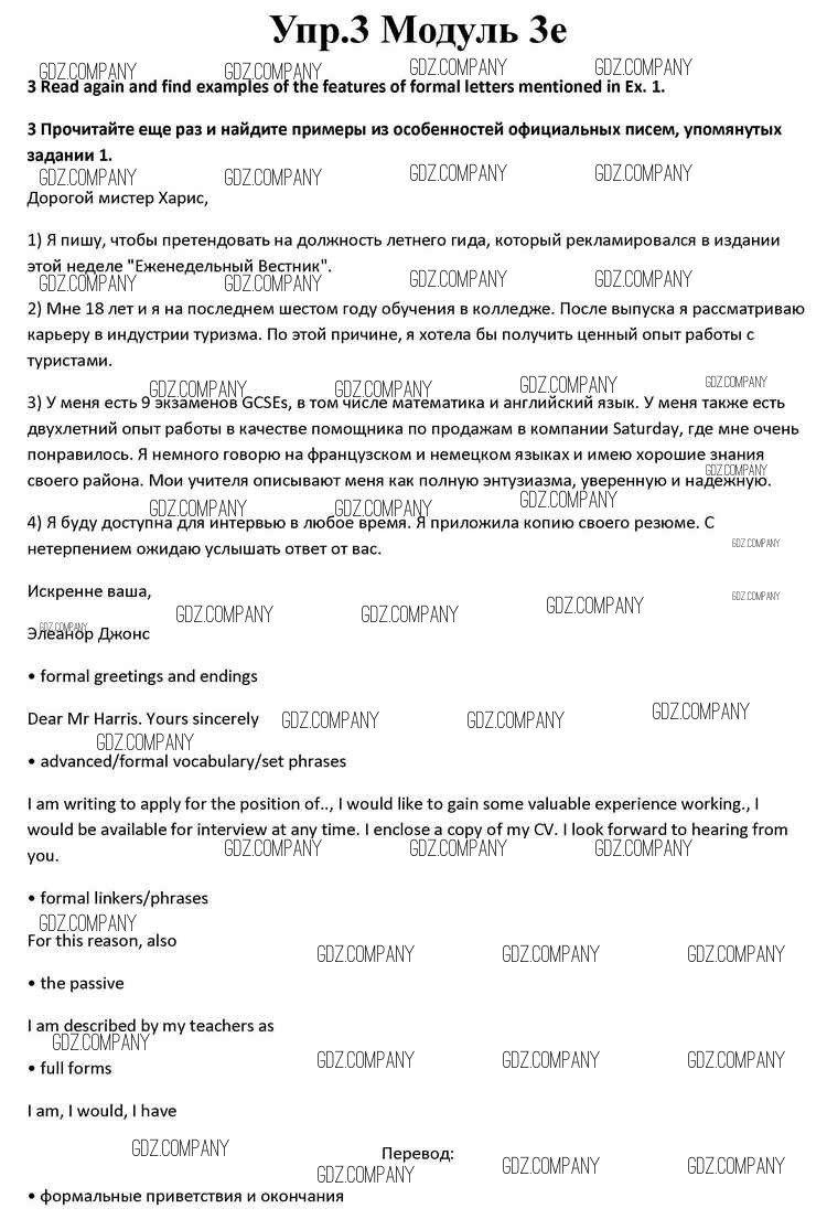
Решебник №1
module 3 / часть 3e / 3
Решебник №2
module 3 / часть 3e / 3
Здесь готовые ответы по Английскому языку за 10 (десятый) класс от Афанасьева, Дули, Михеева, Оби, Эванс Учебник Spotlight (издательство: Просвещение от 2015 г.) № 3