Решебник
глава 5 / §26 / вариант 1




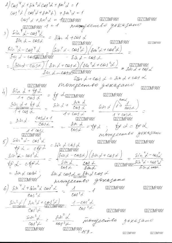
Здесь готовые ответы по Алгебре за 10 (десятый) класс от Шабунин, Ткачева, Федорова Дидактические материалы Базовый и углубленный уровень (издательство: Просвещение от 2017 г.) № вариант 1 Базовый и углубленный уровень