Решебник
глава 5 / §23 / вариант 2



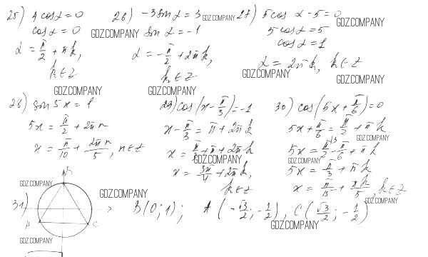
Здесь готовые ответы по Алгебре за 10 (десятый) класс от Шабунин, Ткачева, Федорова Дидактические материалы Базовый и углубленный уровень (издательство: Просвещение от 2017 г.) № вариант 2 Базовый и углубленный уровень