Решебник
глава 2 / §8 / 52

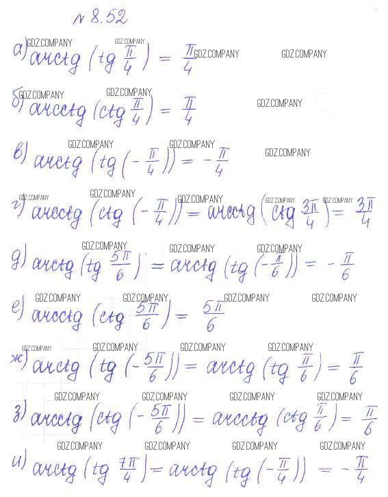
Здесь готовые ответы по Алгебре за 10 (десятый) класс от Никольский, Потапов, Решетников, Шевкин Учебник МГУ - школе Базовый и углубленный уровень (издательство: Просвещение от 2015 г.) № 52 Базовый и углубленный уровень