Решебник
глава 1 / §2 / 23

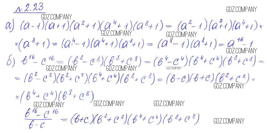
Здесь готовые ответы по Алгебре за 10 (десятый) класс от Никольский, Потапов, Решетников, Шевкин Учебник МГУ - школе Базовый и углубленный уровень (издательство: Просвещение от 2015 г.) № 23 Базовый и углубленный уровень