Решебник
§14 / 14.2

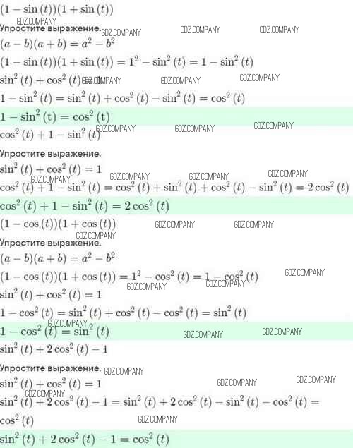
Здесь готовые ответы по Алгебре за 10 (десятый) класс от Мордкович, Семёнов, Звавич, Корешкова, Мишустина Задачник Базовый и углубленный уровень (издательство: Мнемозина от 2017 г.) № 14.2 Базовый и углубленный уровень