Решебник
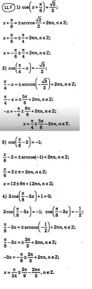
§26 / 26.5
Здесь готовые ответы по Алгебре за 10 (десятый) класс от Мерзляк, Номировский, Полонский, Якир Учебник Алгоритм успеха Базовый уровень (издательство: Вентана-граф от 2022 г.) № 26.5 Базовый уровень