Решебник №1

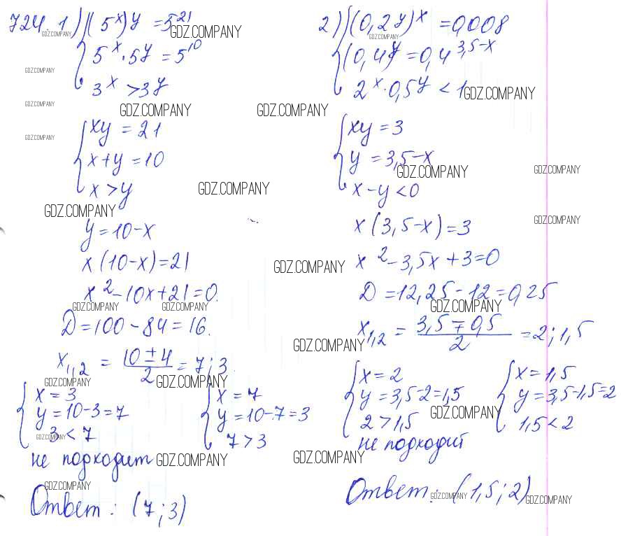
упражнение № / 724

Решебник №2

упражнение № / 724

Решебник №3

упражнение № / 724

Здесь готовые ответы по Алгебре за 10 (десятый) класс от Колягин, Ткачёва, Федорова, Шабунин Учебник Базовый и углубленный уровень (издательство: Просвещение от 2017 г.) № 724 Базовый и углубленный уровень