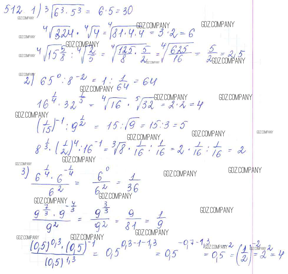
Решебник №1

упражнение № / 512

Решебник №2

упражнение № / 512

Решебник №3

упражнение № / 512

Здесь готовые ответы по Алгебре за 10 (десятый) класс от Колягин, Ткачёва, Федорова, Шабунин Учебник Базовый и углубленный уровень (издательство: Просвещение от 2017 г.) № 512 Базовый и углубленный уровень