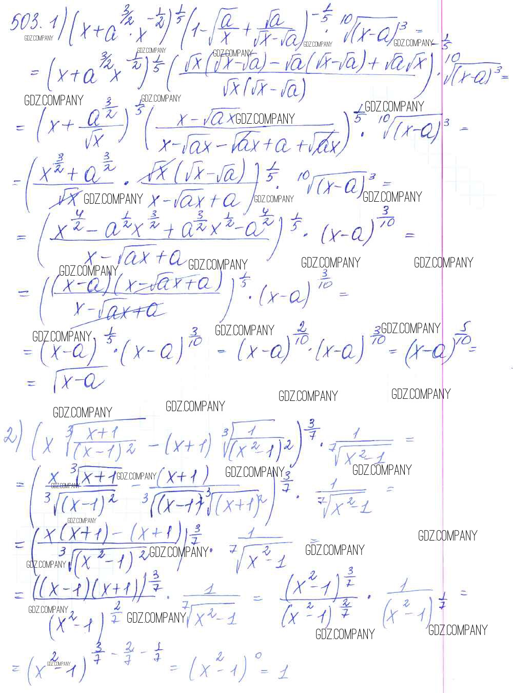
Решебник 1
упражнение № / 503

Решебник 2
упражнение № / 503

Здесь готовые ответы по Алгебре за 10 (десятый) класс от Колягин, Ткачёва, Федорова, Шабунин Учебник Базовый и углубленный уровень (издательство: Просвещение от 2017 г.) № 503 Базовый и углубленный уровень