Решебник №1

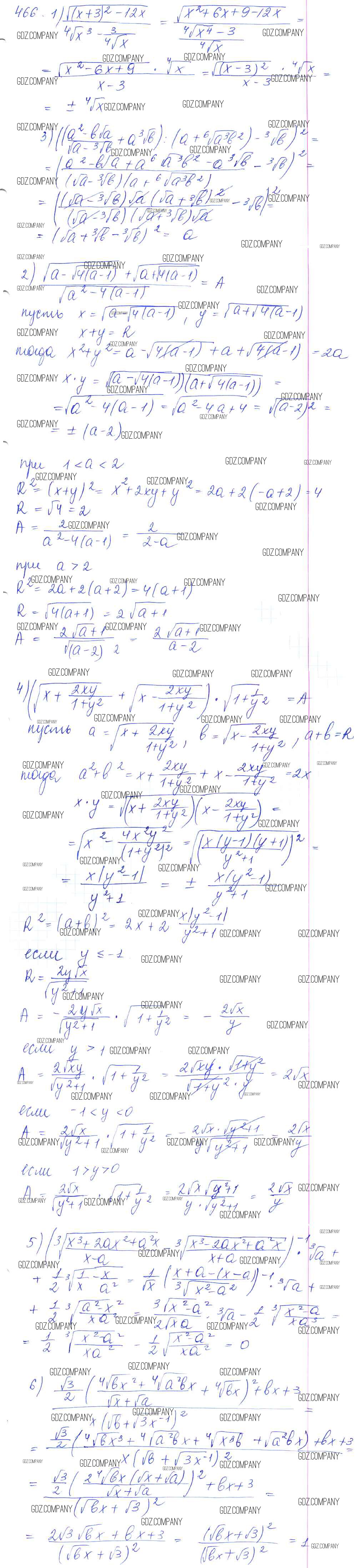
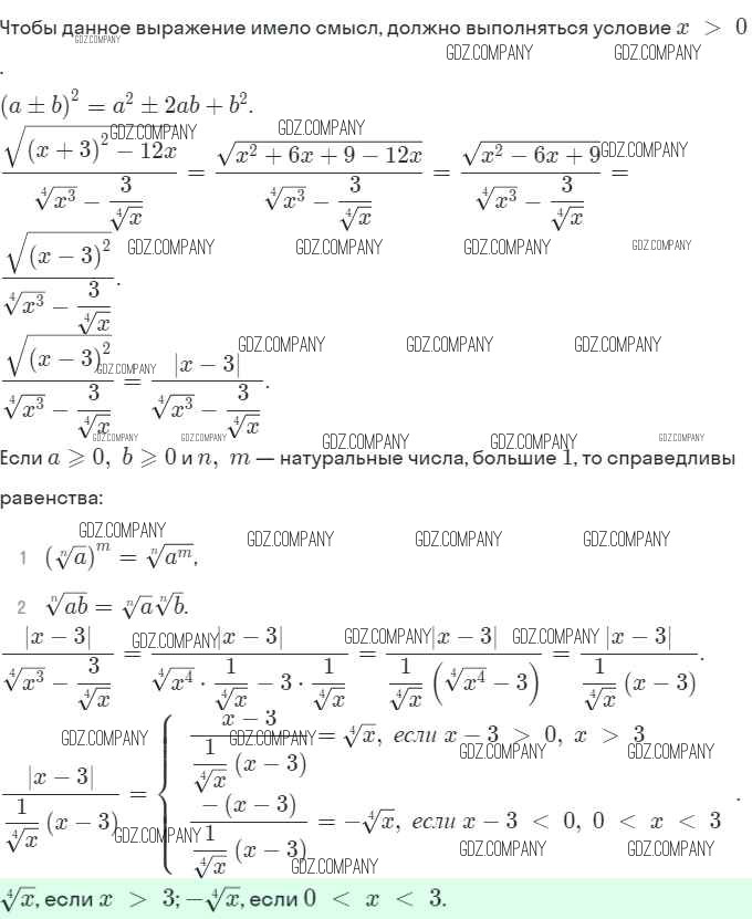
упражнение № / 466

Решебник №2

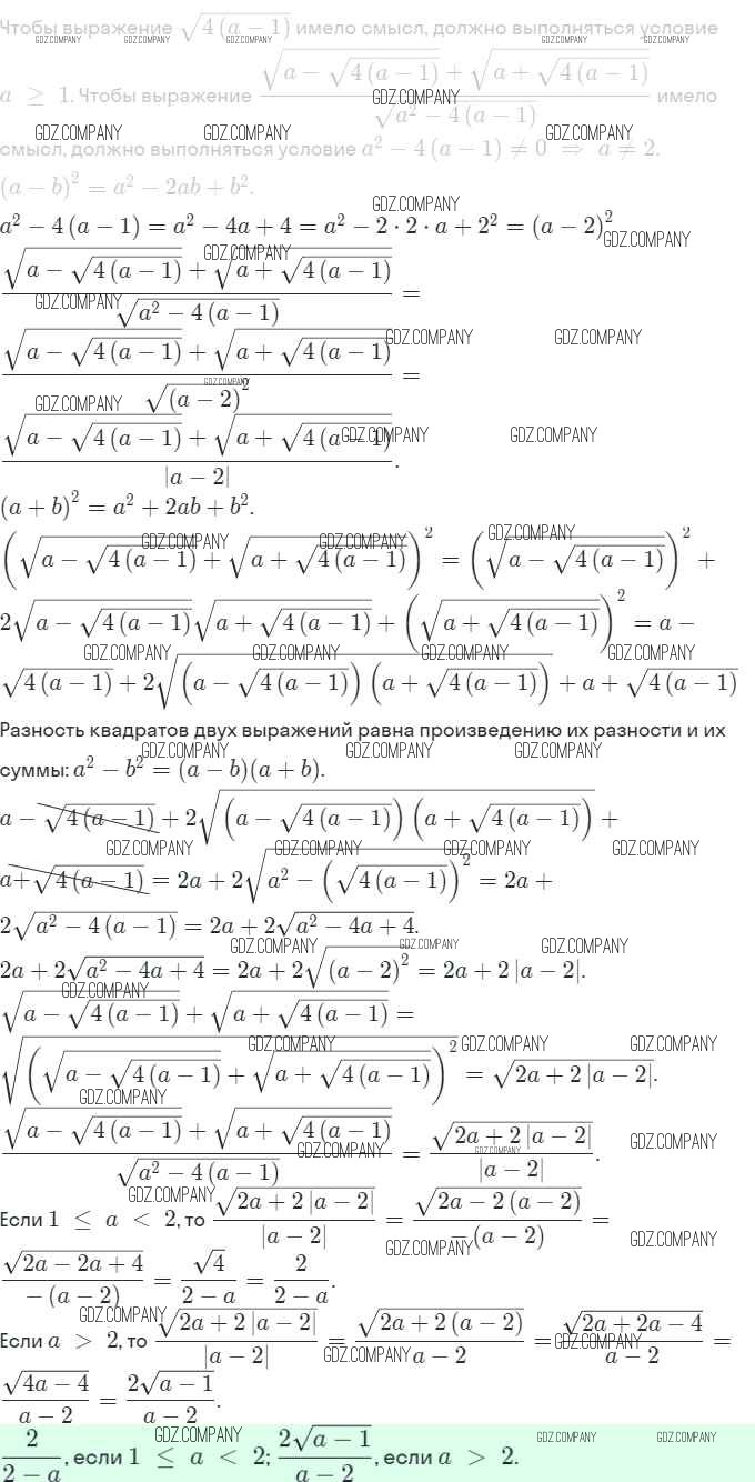
упражнение № / 466

Решебник №3

упражнение № / 466

Здесь готовые ответы по Алгебре за 10 (десятый) класс от Колягин, Ткачёва, Федорова, Шабунин Учебник Базовый и углубленный уровень (издательство: Просвещение от 2017 г.) № 466 Базовый и углубленный уровень