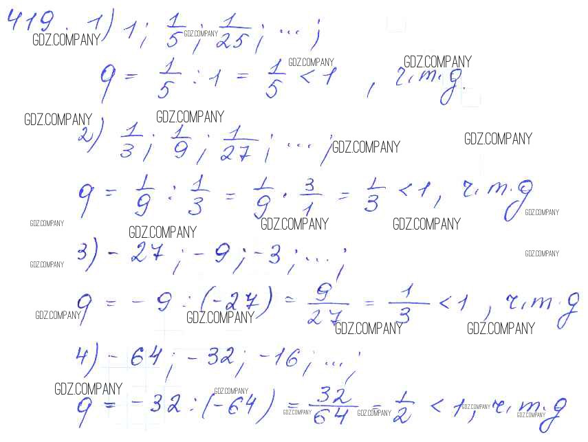
Решебник №1

упражнение № / 419

Решебник №2

упражнение № / 419

Решебник №3

упражнение № / 419

Здесь готовые ответы по Алгебре за 10 (десятый) класс от Колягин, Ткачёва, Федорова, Шабунин Учебник Базовый и углубленный уровень (издательство: Просвещение от 2017 г.) № 419 Базовый и углубленный уровень