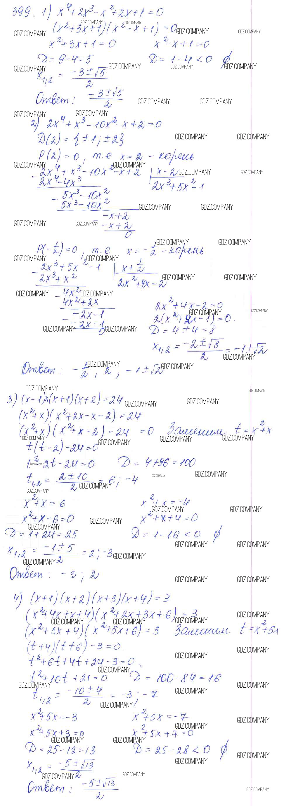
Решебник №1
упражнение № / 399
Решебник №2
упражнение № / 399
Здесь готовые ответы по Алгебре за 10 (десятый) класс от Колягин, Ткачёва, Федорова, Шабунин Учебник Базовый и углубленный уровень (издательство: Просвещение от 2017 г.) № 399 Базовый и углубленный уровень