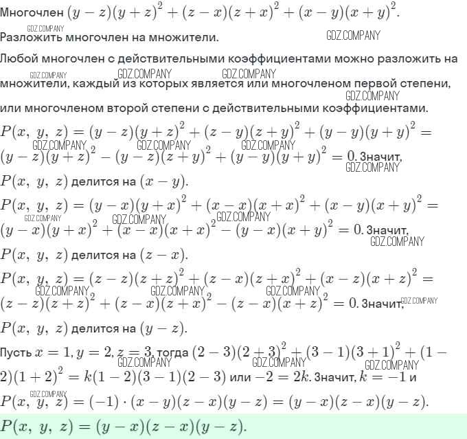
Решебник 1
упражнение № / 343

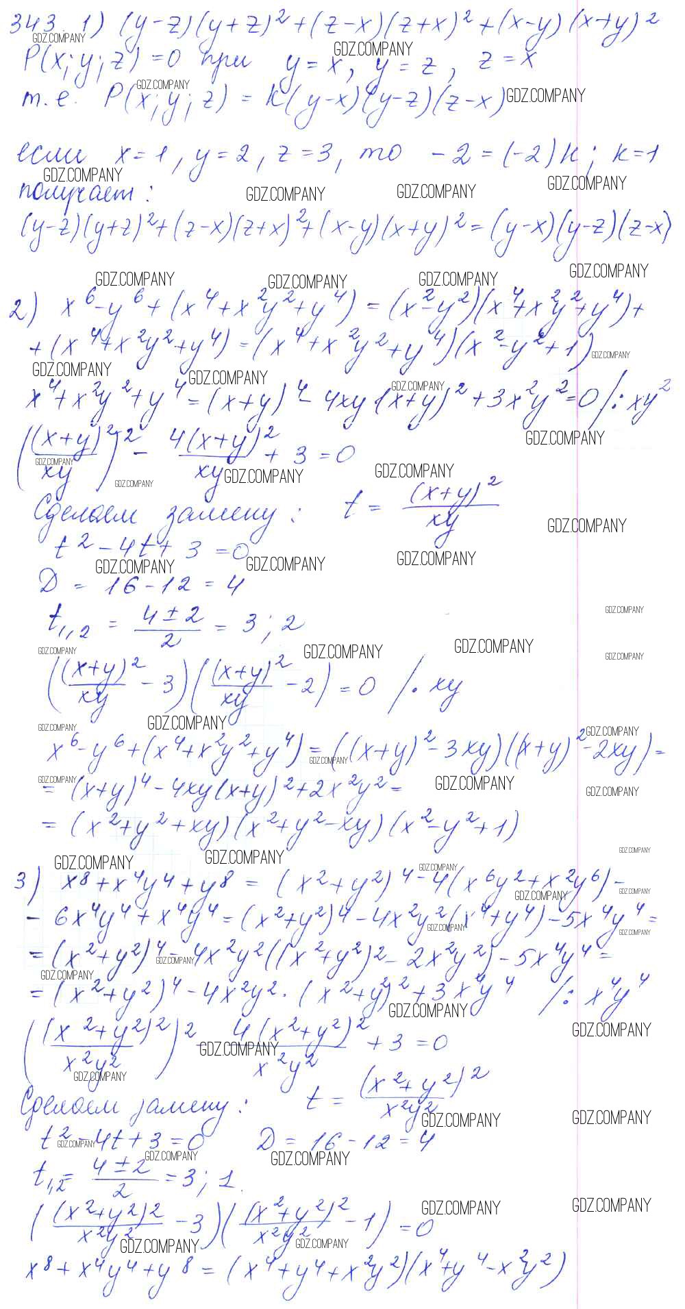
Решебник 2
упражнение № / 343


Здесь готовые ответы по Алгебре за 10 (десятый) класс от Колягин, Ткачёва, Федорова, Шабунин Учебник Базовый и углубленный уровень (издательство: Просвещение от 2017 г.) № 343 Базовый и углубленный уровень