Решебник №1

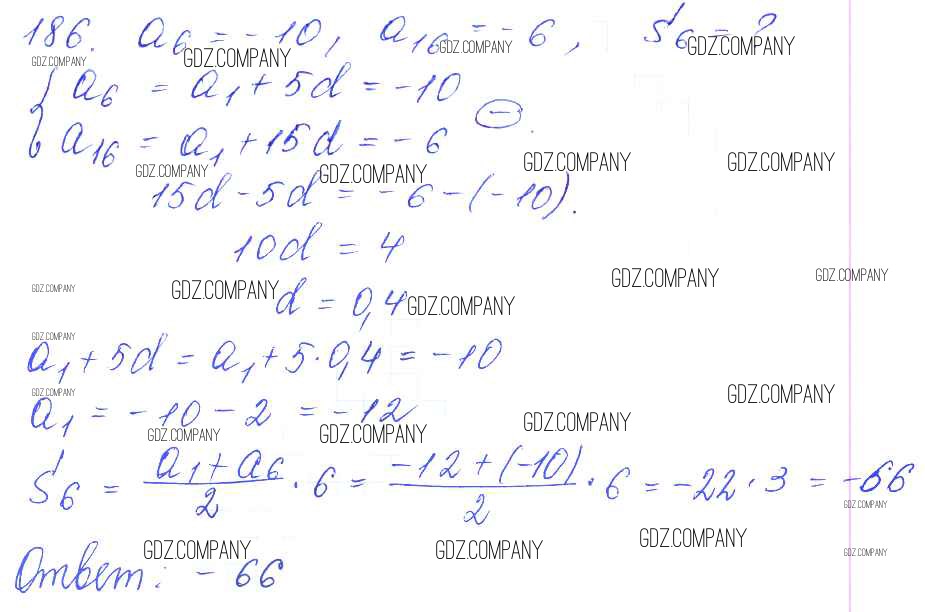
упражнение № / 186

Решебник №2

упражнение № / 186

Решебник №3

упражнение № / 186

Здесь готовые ответы по Алгебре за 10 (десятый) класс от Колягин, Ткачёва, Федорова, Шабунин Учебник Базовый и углубленный уровень (издательство: Просвещение от 2017 г.) № 186 Базовый и углубленный уровень