Решебник 2
проверь себя № / 4



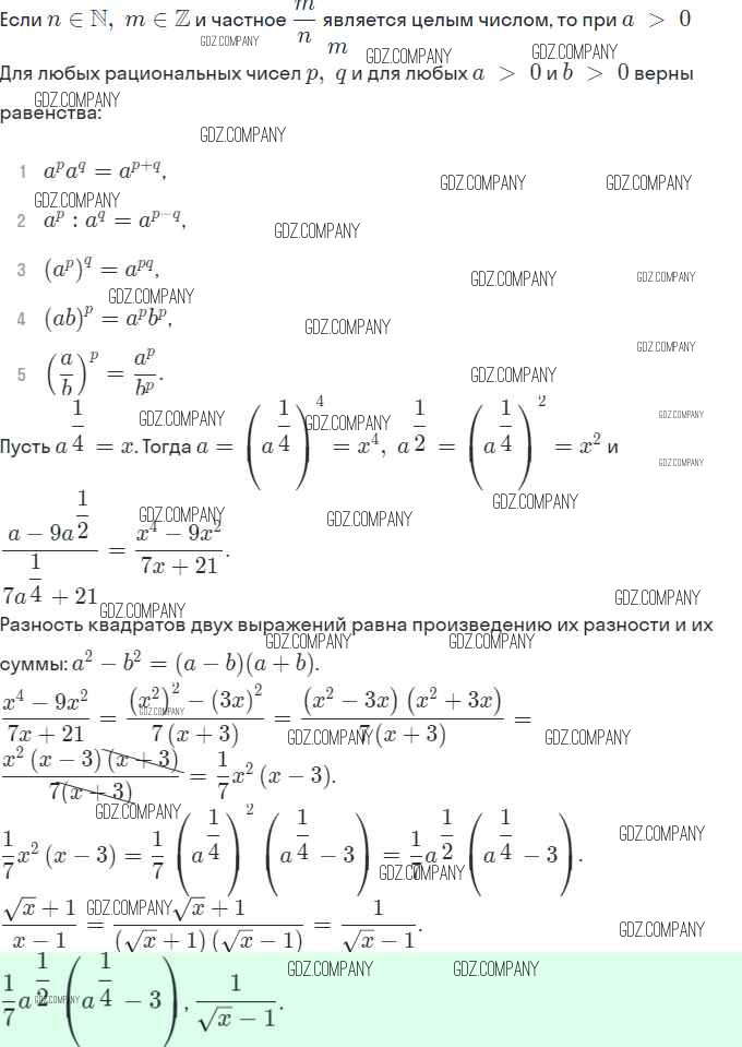
Здесь готовые ответы по Алгебре за 10 (десятый) класс от Колягин, Ткачёва, Федорова, Шабунин Учебник Базовый и углубленный уровень (издательство: Просвещение от 2017 г.) № 4. стр. 171 Базовый и углубленный уровень