Решебник
контрольные работы / кр-9 / вариант 5




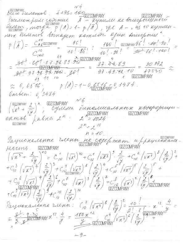
Здесь готовые ответы по Алгебре за 10 (десятый) класс от Глизбург Контрольные работы Базовый и углубленный уровень (издательство: Мнемозина от 2014 г.) № вариант 5 Базовый и углубленный уровень