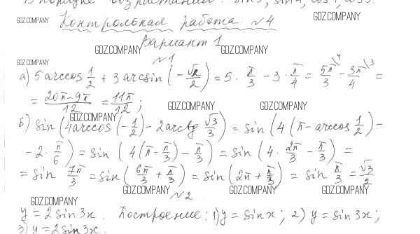
Решебник
контрольные работы / кр-4 / вариант 1




Здесь готовые ответы по Алгебре за 10 (десятый) класс от Глизбург Контрольные работы Базовый и углубленный уровень (издательство: Мнемозина от 2014 г.) № вариант 1 Базовый и углубленный уровень