Решебник
контрольные работы / кр-3 / вариант 3



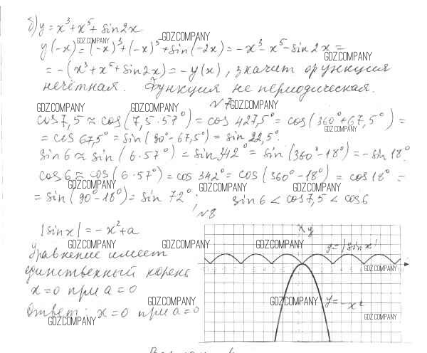
Здесь готовые ответы по Алгебре за 10 (десятый) класс от Глизбург Контрольные работы Базовый и углубленный уровень (издательство: Мнемозина от 2014 г.) № вариант 3 Базовый и углубленный уровень