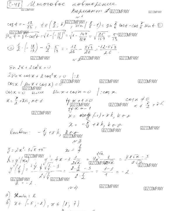
Решебник
глава 5 / ср-48 / вариант 1
Здесь готовые ответы по Алгебре за 10 (десятый) класс от Александрова Самостоятельные работы Базовый уровень (издательство: Мнемозина от 2017 г.) № вариант 1 Базовый уровень