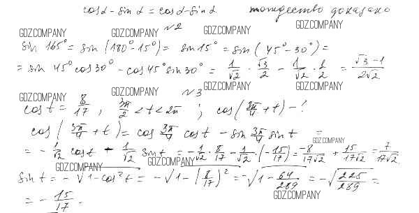
Решебник
глава 4 / ср-25 / вариант 4
Здесь готовые ответы по Алгебре за 10 (десятый) класс от Александрова Самостоятельные работы Базовый уровень (издательство: Мнемозина от 2017 г.) № вариант 4 Базовый уровень