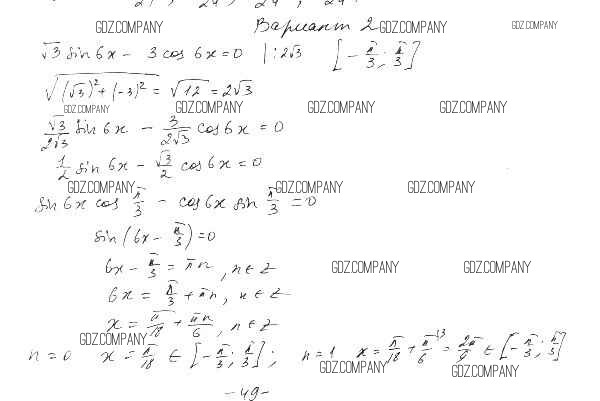
Решебник
глава 3 / ср-23 / вариант 2
Здесь готовые ответы по Алгебре за 10 (десятый) класс от Александрова Самостоятельные работы Базовый уровень (издательство: Мнемозина от 2017 г.) № вариант 2 Базовый уровень